電話:021-69515711
手機:13818065015
傳真:021-69515712-
1049485
-
8459743
-
1993509414
:renrimarket
market@renri.com.cn
一、長袖、半袖、無袖射線防護服 1、防護鉛皮:柔軟防護材料; 2、防護性能佳:鉛分布均勻;提供0.35/0.5mmPb鉛當量; 耐磨、易清洗表面材料 3、結構設計:采用多層材料制作,加上專業的人性化結構設計,讓您穿戴舒適; 4、 精密制作工藝:做工精
REN系列智能化輻射探頭均可和REN300、REN300A、REN300B系列主機配套使用,也可以單獨配套RenRiArea輻射區域監測軟件使用。且具有RS485/RS232的通訊能力。所有探頭均可單獨外接報警燈,在超閾值的情
REN200B型X、γ輻射個人劑量當量HP(10)監測儀(簡稱:個人劑量報警儀)內置高量程蓋格計數管為探測器,主要用來監測各種放射性工作場所的X、γ以及硬β射線的輻射,具有較寬的測量范圍。能顯示工作場所的劑量當量率和累積劑量,更換電池時,日期及累積數據能永久保存。可選配RenRiPersonal個人
REN800A型中子、X、γ輻射周圍劑量當量(率)儀內置一個進口He-3管和一個GM管作為探測器,能同時檢測中子和X、γ射線。該儀器使用方便;靈敏度高、抗γ性能好、能量響應特性好。此外通過配套的RenRiRate輻射劑量管理軟件可將存儲的數據讀出后分析。該儀器適用于環保、化工、石油、醫療、進出口商檢
單聯移動式防護屏風
1、規格尺寸: H×W:1800×900 (mm)2、商品描述: 上部鉛有機玻璃的高度為 H×W:240×240 (mm)3、鉛當量: 鉛玻璃0.5mmPb, 下部分鉛當量為0.5mmpb4、外飾材料:碳素鋼板噴
REN系列智能化輻射探頭均可和REN300、REN300A、REN300B系列主機配套使用,也可以單獨配套RenRiArea輻射區域監測軟件使用。且具有RS485/RS232的通訊能力。所有探頭均可單獨外接報警燈,在超閾值的情況下就地給出聲光報警。
(一)REN-GM-L型 GM管
REN400型多功能輻射檢測儀是以內置高靈敏度蓋格計數管為探測器,外接不同類型的探頭來實現對低劑量χ、γ射線,高劑量χ、γ射線,α、β射線和中子射線的檢測。作為多功能輻射巡測儀,能顯示工作場所的輻射值,自動連續測量和記錄280萬條輻射劑量率數據,更換
REN710型行人通道式γ射線安檢門是專為行人設計的、用于檢測放射性物質的門式檢測系統,它為行人非法攜帶放射性物質及特殊核材料提供快速檢測手段,能夠為海關、機場、碼頭、火車站、醫院、邊境檢查、重要會議場所安全檢查提供幫助。是核
對空情報雷達站電磁環境防護要求(GB 13618-92)
2006/9/16 20:50:00
對空情報雷達站電磁環境防護要求
Requirements of electromagnetic enviroment
proteetion for air defense surveillance radar station
1 主題內容與適用范圍
本標準規定了對空情報雷達站對高壓架空輸電線路、變電站、鐵路、汽車公路和工、科、醫射頻設備等電磁輻射的防護要求,并規定了對空情報雷達站和其他無線電業務之間協調的依據。
本標準適用于工作頻率為80~3000MHz頻段內的對空情報雷達站。
2 術語
2.1 對空情報雷達站 air defense surveillance radar station
對空情報雷達站由對空情報雷達、詢問機以及附屬設備等組成,在防空和空中交通管制系統中,用來搜索、監視和識別空中目標,測定其坐標。對空情報雷達一般包括警戒、引導、測高、目標指示、航管雷達等。
2.2 雷達站電磁環境 radar station electromagnetic environment
雷達站周圍,自然和人為的各種電磁輻射在雷達工作頻段內的電磁能量、時間及空間分布的總體。
2.3 最大容許干擾電壓 maximum permitted interference voltage
在不能完全避免有害干擾的條件下,根據干擾防護準則確定的雷達接收機輸入端容許的最大干擾電壓。
2.4 最大容許干擾場強 maximum permitted interference field strengrh
雷達接收機輸入端干擾電壓為最大容許值時,在雷達天線中心高度處的干擾場強。
2.5 雷達站防護間距 radar station protection distance
能滿足干擾防護準則要求的雷達天線與各干擾源之間的最小間隔距離。
2.6 干擾時間 interference duration
雷達接收機輸入端干擾電壓超過最大容許值的持續時間。
2.7 電磁障礙物 electromagnetic obstacle
能對雷達所輻射的高頻電磁波產生遮蔽和干擾影響的設施,統稱電磁障礙物。
3 干擾防護準則
3.1 對空情報雷達在有源干擾不可避免的條件下,容許有不大于5%的探測距離損失。
3.1.1 對白噪聲干擾,雷達接收機輸入端的最大容許干擾電壓為:
(1)
式中:Ujfmax---接收機輸入端最大容許干擾電壓有效值,μV;
Unf---等效到接收機輸入端的系統噪聲電壓有效值,μV。取值見表1。
表1 接收機輸入端等效噪聲電壓
| 頻 率 MHz | 80~300 | 300~3000 |
| Unf μV | 0.77 | 0.85 |
3.1.2 對不同性質的隨機高頻脈沖干擾,在雷達接收機輸入端的最大容許干擾電壓為:
(2)
式中:C -- 相對于白噪聲最大容許干擾電壓的增量系數,取值見表2。
表2 不同性質隨機高頻脈沖干擾的增量系數
| 干擾源 | 高 壓 架 空 輸電線路、變電站 |
電氣化 鐵 路 |
汽車 公路 |
高 頻 熱合機 |
工業 電焊 |
高 頻 理療機 |
高頻爐 |
| C | 3 | 4 | 4 | 4 | 5.4 | 5.4 | 5.4 |
3.1.3 對接收機通頻帶以外的調幅、調頻干擾信號,在雷達接收機輸入端的最大容許干擾電壓。
3.1.3.1 接收機輸入端對通頻帶外鄰頻干擾信號的最大容許干擾電壓為:
(3)
式中:Uip△fmax---接收機通頻帶外的最大容許干擾電壓峰值,dB(μV);
Ujpmax---接收機通頻帶內最大容許干擾電壓峰值,取值見表3;
K△f---干擾信號頻率偏離接收機工作頻率△f時的接收機帶外抑制系數,dB,取值見表4。
表3 接收機通頻帶內最大容許干擾電壓
| 干擾種類 | 調 幅 | 調 頻 | ||
| 頻 段 MHz | 80~300 | 300~3000 | 80~300 | 300~3000 |
| Ujpmax dB(μV) | 6 | 6.9 | 18 | 18.7 |
表4 接收機帶外抑制系數
| 頻偏MHz | K△fdB | |
| 80~300MHz | 300~3000MHz | |
| 0.3 | 10 | —— |
| 0.5 | 20 | —— |
| 1.0 | 50 | —— |
| 1.5 | 63 | 10 |
| 2.0 | 70 | 33 |
| 2.5 | —— | 51 |
| 3.0 | —— | 62 |
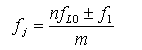
3.1.3.2 干擾信號頻率fj滿足(4)式條件時,在雷達接收機輸入端的干擾電壓應小于85dB(μV)。
(4)
式中:fj---干擾信號頻率,MHz;
n---本振頻率的諧波次數,正整數1,2,3;
fLO---接收機本振頻率,MHz;
fI---接收機中頻頻率,MHz;
m---干擾頻率的諧波次數,正整數1,2,3。
3.1.3.3 如果有兩上或兩個以上的干擾信號同時進入雷達接收機輸入端,其頻率滿足產生二、三階互調干擾條件時,其中一個干擾信號的電壓應低于60dB(μV)。
3.1.3.4 在雷達接收機高放通帶外,干擾信號頻率不滿足(4)式和互調干擾條件時,干擾信號電壓應小于110dB(μV)。
3.2 電磁障礙物對雷達探測距離影響的損失,不超過探測距離的5%。
3.3 一次連接干擾時間不超過10s、兩次干擾的間隔時間不少于10s、每小時累計干擾時間不超過工作時間的5%。
4 防護間距
對空情報雷達站對各種干擾源的防護間距見表5。
表5 防護間距
| 干 擾 源 | 防護間距,km | 備 注 | ||
| 80~300MHz | 300~3000MHz | |||
| 高壓架空 輸電線路 |
500kV | 1.6 | 1.0 | |
| 220~330kV | 1.2 | 0.8 | ||
| 110kV | 1.0 | 0.7 | ||
| 高壓變電站 | 500kV | 3.0 | 1.2 | |
| 220~330kV | 1.6 | 0.8 | ||
| 110kV | 1.4 | 0.7 | ||
| 電氣化鐵路 | 國產機車 | 0.8 | 0.7 | |
| 非電氣化鐵路 | 0.6 | 0.5 | ||
| 汽車公路 | 高速、一級 | 1.0 | 0.7 | |
| 二級 | 0.8 | 0.7 | ||
| 高頻熱合機 | 1.2 | 1.2 | 從廠房算起 | |
| 高頻爐 | P≤100kW | 0.5 | 0.5 | 有屏蔽的廠房, 從廠房算起 |
| 工業電焊 | P≤10kW | 0.5 | 0.5 | |
| 超高頻理療機 | P≤1kW | 1.0 | 1.0 | 從工作間算起 |
| 農用電力設備 | P≤1kW | 0.5 | 0.5 | |
注:a.特殊情況下,按干擾防護準則的要求,參照有關附錄進行測算。
b.雷達對調幅、調頻信號發送設備的防護間距按有關附錄中的方法計算。

產品名稱:REN600型α、β表面污染測量儀
產品描述: REN600Bα、β表面污染檢測儀采用閃爍探測法,用來檢測放射性工作場所和實驗室的工作臺面、地板、墻面、手、衣服、鞋等表面受α或β(γ)放射性污染的程度,也可對密封型α、β同位素泄漏水平進行檢測。儀器具有較高的探測效率;此外通過配套的 RenRiRate輻射劑量管理軟件可將存儲的數據讀
產品名稱:REN300+REN-3He-N型固定式中子、伽瑪報警儀
產品描述:本報警儀由REN300在線輻射安全報警儀和REN-3He-N中子探頭和REN-NaI30伽瑪探頭組成。該輻射報警裝置是采用特殊設計的前置放大電路,具有靈敏度高、操作方便、自動顯示、數據存儲和超閾值報警等特點,能實時給出x射線、γ射線、中子射線的輻射劑量率。考慮到現場操作、應急快速響應的需要,主機安裝
產品名稱:REN300型在線x-γ輻射安全報警儀
產品描述: REN300在線x-γ輻射安全報警儀是一種新型的x-γ輻射連續監測報警裝置,它采用特殊設計的前置放大電路,具有靈敏度高、操作方便、自動顯示、數據存儲和超閾值報警等特點,能實時給出xγ輻射劑量率。考慮到現場操作、應急快速響應的需要,主機安裝在輻射現場,實現實時監測與就地報警,通過RS48
產品名稱:REN500H輻射防護用X、γ輻射劑量當量(率)儀
產品描述:REN500H輻射防護用X、γ輻射劑量當量(率)儀是監測各種高劑量放射性工作場所的輻射劑量率專用儀器。儀器滿足《環境地表γ輻射劑量率測定規范》中高劑量部分的要求。該儀器除能測高能γ射線外,還能對低能X射線進行準確的測量,具有良好的能量響應特性。此外通過配套的RenRiRate輻射劑量管理軟件可將存儲
產品名稱:REN300B型在線輻射安全報警儀
產品描述:REN300B在線輻射安全報警儀是一種新型的x-γ輻射連續監測報警裝置,它采用特殊設計的前置放大電路,具有靈敏度高、操作方便、自動顯示和超閾值報警等特點,能實時給出xγ輻射劑量率。考慮到現場操作、應急快速響應的需要,主機安裝在輻射現場,實現實時監測與就地報警,通過RS485通訊實現總控制室自動監控。
產品名稱:REN500B型智能化X、γ輻射儀
產品描述: REN500B型智能化х-γ輻射儀是監測各種放射性工作場所х、γ射線輻射劑量率的專用儀器。該儀器具有較大的劑量率測量范圍和能量響應特性。此外通過配套的RenRiRate劑量率管理軟件可將存儲的數據讀出后分析。該儀器廣泛用于衛生、環保、冶金、石油、化工、醫院、加速器、工業探傷







滬ICP備09065761號-4